Are you feeling overwhelmed by memorizing formulas before the ACT math test? The math section is a big deal as it covers up to 60% of all questions from the exam, but don’t panic! Even though there are many formulas you have to know, unfamiliar ones appear quite rarely. That’s why the first thing on your to-do list should be learning the most common ACT math formulas, which are vital for your excellent ACT score. What are the essentials, then? We’ve collected them in this blog.
The Basics: What Is the ACT Math Test?
The math test is one of the four sections of the general ACT exam. It covers six areas of the school program. These include pre-algebra, elementary algebra, intermediate algebra, coordinate geometry, plane geometry, and trigonometry. For this multiple-choice test, you have 60 minutes for 60 questions. So, you should aim to spend no more than 60 seconds per question to stay within the time limit. The maximum grade you can get for this exam is 36.
Since the ACT math test is comprehensive, it requires careful preparation and thorough study of the material. One of the things you should pay additional attention to is the math formulas. So, refreshing and practicing them should become your habit while preparing for the exam. If you miss classes at school, you can always take extra courses and tutoring. This will increase your chances of passing the ACT math test successfully.
15 Helpful Formulas You Should Know Before the ACT Math Test
Let’s figure out the essential math formulas you need to know before writing your ACT test.
Algebra formulas
When preparing for the ACT math section, pay special attention to the section related to algebra. Algebraic tasks take around 15% of the whole exam.
Slope-intercept formula

The linear equation for the slope-intercept is y = mx + b. In this formula, “m” is the slope, and “b” is the point where the line crosses the y-axis, aka the y-intercept. For a line passing through the origin (0,0), the equation is y = mx. If you face an equation that isn’t like this, meaning y = mx + b, you should rearrange it to match the standard slope-intercept formula.
Distance formula

The distance formula helps you determine the spacing between two points.
Note: Instead of using this formula, you can find a distance by graphing the points to create a right triangle. After that, calculate the distance (the hypotenuse) using the Pythagorean theorem (we’ll get to that later on).
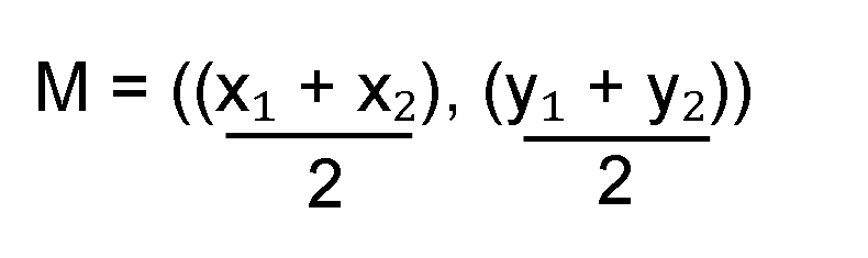
Midpoint formula

This formula helps you calculate the middle point between two points on a line segment. You can formulate it as M = ( (x? + x?) / 2 , (y? + y?) / 2 ). Just keep in mind that (x?, y?) and (x?, y?) are the coordinates of the two points.
FOIL (First, Outer, Inner, Last)

During your preparation, refresh in memory the FOIL (First, Outer, Inner, Last). It’s a useful technique often tested on the ACT. When multiplying two binomials (a + b)(c + d), you need to multiply the numbers in the following order:
- The FIRST terms (a x c)
- The OUTER terms (a x d)
- The INNER terms (b x c)
- The LAST terms (b x d)
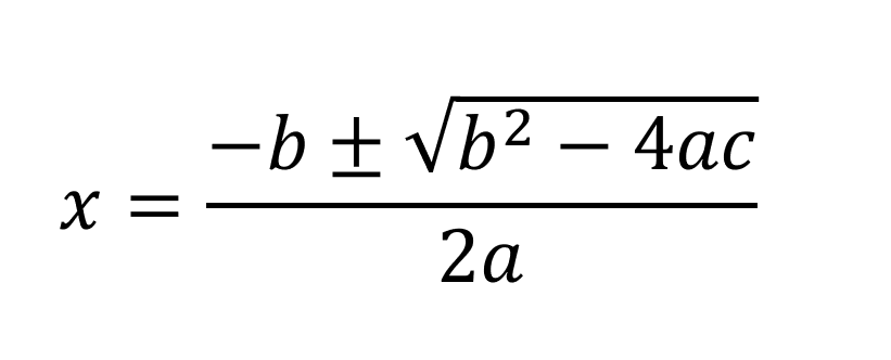
Quadratic formula

You might remember the quadratic formula from your math classes. If not, you have a chance to learn it now. It might seem quite challenging, but it’s vital to calculate ??the x-intercepts when solving quadratic (also known as parabolic) equations on the ACT.
Discriminant

You can calculate the discriminant using b2– 4ac formula. Keep in mind that if the discriminant is greater than 0, you have two solutions. If it equals 0, there’s only one solution. And if it’s less than 0, there are no solutions.
Statistics and Probability Formulas
Around 10% of math questions cover statistics and probability. Though not the most common, these concepts are essential. Ensure you’re familiar with these formulas to succeed with this type of question.
Percentages

Before the test, refresh your knowledge about the common percentage-related formulas and practice your ability to convert decimals to fractions and vice versa. Also, pay attention to your speed and try finding percentages of numbers swiftly. These skills are crucial for the fast-paced ACT.
Statistics

ACT’s statistics questions are often simpler than those in class. They revolve around means, medians, modes, and ranges of number sets. Familiarity with these concepts is key, so let’s go through a short overview of them:
- Mean is the average, calculated by adding up the values and dividing the sum by the total number of values.
- Median is the middle value in an ordered set of numbers.
- Mode is the most frequent number in a dataset.
- Range is the difference between the biggest and the smallest value.
The unweighted average is the usual average we know, where you divide the sum by count. On the other hand, the weighted average emphasizes certain numbers and considers sample sizes by multiplying them with weights before adding the numbers up and dividing them. So, these are the key terms that you should know before the test.
Geometry Formulas
Geometry is a significant part of the ACT math test. Though it might not be everyone’s favorite, mastering these formulas is crucial.
Lines and Angles
As for the angles, you have to keep in mind that two angles are supplementary when their measures add up to 180°, whereas complementary angles add up to 90°. There is a trick to avoid confusing them. Remember that ‘s’ (for supplementary) goes after ‘c’ (for complementary) in the alphabet, while 180 is bigger than 90. So, 180 also ‘goes after’ 90. These facts are handy for solving angles-related questions.
Triangles

In this section, you need to remember that triangle angles total 180°. If you want to find the triangle area, you need the following formula: 0.5 × base × height. Besides, it is essential to remember the Pythagorean theorem. You can only apply it to a right triangle with sides a, b, and hypotenuse c (the longest side, located opposite the right angle). According to the Pythagorean theorem, the square of the side c (hypotenuse) equals the sum of squares of a and b, meaning a² + b² = c².
Polygons

While preparing for your math exam, don’t overlook polygons, especially trapezoids. Prioritize memorizing the area and angle sum formulas. If unsure, consider dividing a trapezoid to calculate the area, perimeter, or missing sides.
Circles and Parabolas

Circles and parabolas require more formula memorization. Spend extra time on these unique shapes. Practice pi-based answers for some questions.
Triangles and Trigonometry

Triangles and trigonometry are two other things you need to memorize before the ACT math test. The least you should know is what SOHCAHTOA is and how to calculate it. So, sine (SOH) is opposite over hypotenuse, cosine (CAH) is adjacent over hypotenuse, and tangent (TOA) is opposite over adjacent. This knowledge is fundamental for the trigonometric functions.
Numbers and Quantity
The complex number systems comprise around 10% of all the ACT math section questions. That’s why remember to learn these formulas as well.
Logarithms

Logarithm questions are rare, and you will usually find them at the end of the math section of your ACT test. So, refresh your knowledge about the basic concepts related to the logarithms. For example, do not forget that log x with no base is base 10, ln x is base e.
Sequences

As for the sequences, the bare minimum you need to memorize and train before the exam are the arithmetic and geometric sequence formulas.
Conclusion
Preparing for the ACT math test is a lot about memorizing the main formulas. Knowing the theory is important, but understanding how to use that knowledge is much more critical. The best way to learn formulas is to apply them practically and do it repeatedly. So, focus on regular practice to boost your score for the ACT math test.